|
ЗАТВЕРДЖЕНО |
Методика розрахунку характеристик надійності оцінювання показників за результатами вибіркового обстеження населення (домогосподарств) з питань економічної активності
При проведенні вибіркових обстежень вирішальне значення для правильної інтерпретації їх результатів, контролю оптимальності дизайну вибірки та статистичної ефективності окремих етапів обробки даних має інформація щодо надійності оцінювання показників для генеральної сукупності. Оцінка показника, надійність якої є недостатньою, не може бути використана для аналізу процесів та явищ.
Можливість визначення надійності оцінювання показників генеральної сукупності за результатами певного вибіркового обстеження є найважливішим фактором, який обумовлює ефективність вибіркового методу спостережень при зборі статистичної інформації. Як відомо, зазначена можливість забезпечується імовірнісним характером, тобто репрезентативністю вибірки.
Для імовірнісних вибірок зі складним дизайном, якою є, зокрема вибірка вибіркового обстеження населення (домогосподарств) з питань економічної активності (далі – ОЕАН), побудова аналітичних залежностей для розрахунку характеристик надійності є складною статистичною проблемою, оскільки такі залежності визначаються як особливостями дизайну вибірок, так і типом показників, що оцінюються. При цьому використовувати спрощені залежності, які не враховують реального дизайну вибірок, неприпустимо, оскільки це може призвести до катастрофічної недооцінки похибки вибірки. За таких умов більш ефективними є універсальні наближені розрахункові методи оцінки характеристик надійності, зокрема реплікаційні методи та методи лінеаризації.
З метою визначення характеристик надійності, в даній методиці використовується так званий метод збалансованих реплікацій, який дозволяє за результатами вибіркового обстеження розрахувати величину дисперсії вибіркових оцінок для будь-якого дизайну вибірки та для будь-якого типу показника. Цей метод дозволяє ефективно використовувати первинні дані обстеження, статистичні ваги обстежених одиниць та дизайн вибірки. Метод реалізований в статистичному програмному пакеті „WesVarPC”, який в цілому гармонізований з програмним пакетом „SPSS”, що є базовим програмним продуктом для обробки статистичних даних в системі Держкомстату України.
Необхідність розробки даної методики обумовлена, насамперед, визначальною роллю інформації щодо рівня надійності результатів ОЕАН у адекватній їх інтерпретації та використанні, підвищенням зацікавленості користувачів у отриманні характеристик надійності та рекомендаціями міжнародних статистичних служб щодо стандартів оцінювання показників та змісту публікацій за результатами зазначених обстежень.
Умовні позначення:
|
ПТОВ |
– первинна територіальна одиниця вибірки; |
|
ВТОВ |
– вторинна територіальна одиниця вибірки; |
|
ОЕАН |
– обстеження економічної активності населення; |
|
BRR |
– (balanced repeated replications) метод збалансованих реплікацій. |
Символи:
|
|
– обсяг вибірки; |
|
|
– оцінка показника за результатами вибіркового обстеження; |
|
|
– верхня та нижня межі довірчого інтервалу; |
|
|
–
коефіцієнт варіації вибіркових оцінок показника
|
|
|
– дизайн-ефект; |
|
|
– гранична похибка; |
|
|
– стандартна похибка; |
|
|
–
дисперсія вибіркових оцінок
|
Основні терміни [1, 2]:
Гранична похибка – гранично припустима розбіжність між оцінкою показника за результатами вибіркового обстеження та дійсним значенням показника (невідомим) для генеральної сукупності, визначена на основі стандартної похибки вибірки та встановленого рівня довірчої імовірності.
Дизайн-ефект(
)
– міра відносної статистичної ефективності певного дизайну вибірки у
порівнянні з простою випадковою вибіркою (відношення дисперсії вибіркових оцінок
показника для реального дизайну вибірки, до дисперсії оцінки цього показника,
отриманої за допомогою простого випадкового відбору).
Дисперсія вибіркових оцінок – середній квадрат відхилень оцінок показника за всіма можливими вибірками даного дизайну від середнього значення оцінки за всіма вибірками.
Довірчі межі (межі довірчого інтервалу) – крайні значення оцінки показника, між якими міститься дійсне значення показника.
Коефіцієнт варіації (відносна стандартна похибка) – відносна стандартна похибка вибірки. Визначається як відношення величини стандартної похибки вибірки до оцінки показника у відсотках.
Надійність – близькість оцінок показника за всіма можливими вибірками даного дизайну до дійсного (невідомого) значення показника.
Оцінка показника – значення показника для генеральної сукупності, отримане за результатами вибіркового спостереження.
Стандартна похибка – середньоквадратичне відхилення вибіркових оцінок показника за всіма можливими вибірками даного дизайну від дійсного значення показника для генеральної сукупності.
1. Загальні положення
Із статистичної точки зору, оцінка певного показника за результатами вибіркового обстеження є надійною, якщо вибіркові оцінки, побудовані на базі всіх можливих вибірок однакового дизайну та обсягу, сконцентровані біля дійсного значення показника [3]. Висока концентрація, тобто надійність, бажана тому, що в окремому процесі побудови вибірки та розрахунку оцінки, який майже завжди застосовується на практиці, існує лише деяка імовірність наблизитись до дійсного значення (див. рис. 1).
Реальна надійність оцінок будь-якого показника, оціненого за даними вибіркового обстеження, може бути визначена лише у виключному випадку, так як на практиці процедура відбору реалізується лише один раз і дійсні значення показників невідомі. При обробці даних вибіркових обстежень в більшості випадків надійність лише оцінюється. Слід відмітити, що в теоретичній статистиці розвинуті підходи, котрі дозволяють відходити від необхідності повторення обстеження для широкого спектру дизайнів вибірок. Ці підходи вимагають, перш за все, імовірнісного характеру вибірки – кожна сукупність елементів повинна мати відому (не нульову) імовірність потрапити до вибірки. Крім того існують методи, які дозволяють прямо оцінити надійність показників - так звані реплікаційні методи.
Близькість оцінки показника до реального значення показника, а саме її надійність, має два аспекти (див. рис.1.):
– вибіркові оцінки мають малу дисперсію;
– середнє значення оцінок показника близьке до дійсного значення.
Оцінки дисперсії, отримані по різних вибірках, називають дисперсією вибіркових оцінок або вибірковою дисперсією.
Дисперсія вибіркових оцінок визначається за формулою:

де
–
оцінка показника по вибірці
,
;
–
середнє значення вибіркових оцінок показника,
;
H – кількість вибірок.

Рис. 1. Порівняння надійності оцінок при великій дисперсії без зміщення та при малій дисперсії зі зміщенням
Похибка вибірки розраховується як
стандартна похибка SE на підставі величини оцінки дисперсії
значень
показника за формулою:

Для вибірок зі складним дизайном,
якою є, зокрема, вибірка для ОЕАН, величина
може
бути розрахована на основі класичної формули для оцінки дисперсії ознаки при
простому випадковому відборі
:

де
–
дисперсія оцінки показника по одиницях вибірки для простого випадкового відбору.
Коефіцієнт варіації
(або
відносна стандартна похибка вибірки
)
розраховується за формулою:

Відносні стандартні похибки в аналізі надійності результатів обстежень доцільно використовувати, оскільки вони не залежать від рівня ознаки.
Величина коефіцієнта варіації
часто використовується, як показник придатності даних для аналізу. Так, якщо
£
5%, то оцінка вважається точною, якщо 5%<
£10%
– оцінка є придатною для кількісного аналізу, але її точність недостатньо
висока, якщо 10%<
£
25% – оцінка придатна лише для якісного аналізу і її слід використовувати
обережно (іноді публікують дані для яких
досягає
30% і навіть 40%).
Гранична похибка вибірки
розраховується
на основі стандартної похибки вибірки за формулою:

де
-довірче
число (квантіль нормального розподілу або квантіль розподілу ймовірностей),
визначає співвідношення граничної та стандартної похибки при даній ймовірності
p (p - імовірність того, що похибка вибірки для оцінки показника
не перевищить величину LSE) . Типові значення t наведені в таблиці
1.
Таблиця 1
Взаємовідповідність між
величинами довірчої ймовірності p
і довірчого числа t [4]
|
p |
0,50 |
0,80 |
0,90 |
0,95 |
0,99 |
|
t |
0,67 |
1,28 |
1,64 |
1,96 |
2,58 |
Гранична похибка вибірки
використовується для побудови довірчих меж інтервальних оцінок (меж довірчих
інтервалів). Наприклад, для побудови нижньої
та
верхньої
довірчих
меж інтервальної оцінки сумарного значення
використовуються
формули:

Різниця між середнім
значенням вибіркових оцінок показника
та
дійсним значенням
(майже
завжди невідомим) є зміщенням оцінки та позначається як
(див.
рис. 1):

За наявності
зміщення для визначення статистичної надійності оцінки показника
використовується середньоквадратична похибка
,
що визначається формулою:

Таким чином, середньоквадратична
похибка складається з дисперсії вибіркових оцінок та квадрату зміщення.
Величина
зазвичай
розглядається як показник надійності, тобто для цільового показника
оцінка
вважається
більш надійною за оцінку
,
якщо
.
Слід відмітити, що
та
визначаються
процесом оцінювання цільового показника, та їх значення будуть різними для
різних значень цільового показника. Порівняно з
та
дисперсія
вибіркових оцінок (так само як і середнє значення) не
пов’язана з цільовим показником. В той же час і дисперсія, і зміщення так само
як і, відповідно, середньоквадратична похибка залежать від дизайну вибірки.
За наявністю зміщення для
характеристики надійності оцінок використовується також величина загальної
похибка оцінки
,
що визначається як корінь квадратний з
середньоквадратичної похибки:

Позначення
тут дещо спрощені, і відповідно, прийняте
еквівалентне
![]()
Якщо при оцінюванні показника
зміщення відсутнє (
=0),
то величина середньоквадратичної похибки дорівнює дисперсії вибіркових оцінок
,
і загальна похибка дорівнює стандартній похибці
.
По аналогії з
такою характеристикою надійності оцінок показників як відносна стандартна
похибка із загальної похибки розраховується відносна загальна похибка (
),
що визначається як відношення загальної похибки до значення оцінки показника у
відсотках:

Таким чином, для визначення надійності оцінок показників у загальному випадку необхідно розраховувати:
– дисперсію вибіркових оцінок (та стандартну похибку) для дизайну вибіркової сукупності та оцінок;
– оцінку зміщення цільового показника;
– середньоквадратичну похибку оцінки цільового показника.
Для визначення дисперсій, стандартних похибок та величини дизайн-ефекту для вибірок зі складним дизайном частіше за все використовуються спеціалізовані розрахункові методи.
В теперішній час, в умовах наявності та доступності досить потужних комп’ютерів, до методів розрахунку похибки вибірки ставляться такі загальні вимоги:
– можливість врахування реального складного дизайну вибірки;
– можливість використання для різних дизайнів вибірки;
– можливість використання для всіх основних типів показників та для будь-яких груп одиниць вибірки у межах вибірки;
– мінімальність величин та прийнятні статистичні властивості похибок, джерелом яких є самі методи;
– економічність в плані витрат часу;
– наявність та зручність використання спеціалізованого програмного забезпечення для практичного застосування методів.
При аналізі якості даних ОЕАН застосовується реплікаційний метод BRR, який реалізований у стандартному пакеті програм „WesVarPC” [5]. BRR є складною розрахунковою процедурою. Вона передбачає, що повна вибірка складається з H страт (ці страти у загальному випадку відрізняються від страт дизайну вибірки), у кожному з яких міститься два кластера (кластер об’єднує одиниці спостереження, що розташовані в межах однієї територіальної одиниці або декількох сусідніх територіальних одиниць, що залежить від розміру останніх). Кожна реплікація – «напіввибірка», будується шляхом випадкового відбору по одному кластеру з кожної страти. Оцінка показника за реплікацією розраховується шляхом подвоєння статистичних ваг одиниць спостереження, що належать відібраним кластерам.
Необхідна кількість реплікацій T визначається з використанням методу балансування. Це досягається спеціальною процедурою формування реплікацій за допомогою ортогональних матриць Адамара. Такі матриці мають порядок 4×z, де z – будь-яке натуральне число [6].
Матриці Адамара при z = 1, 2 мають вигляд (див. також табл. 2.).

При формуванні реплікацій, число “1” означає, що з відповідної страти включається другий кластер, а число “-1”, що – перший кластер. При цьому, якщо вибірка складається з меншого числа страт, ніж число 4×z, наприклад, T = 9 при z = 3, то слід обрати будь-які 9 граф повної матриці.
Таблиця 2
Приклад зв’язків елементів матриці Адамара при z = 2
для вибірки, яка складається з 8 страт
|
Реплікація, t |
Страта, h |
|||||||
|
1 |
2 |
3 |
4 |
5 |
6 |
7 |
8 |
|
|
1 |
1 |
1 |
1 |
1 |
1 |
1 |
1 |
1 |
|
2 |
1 |
-1 |
1 |
-1 |
1 |
-1 |
1 |
-1 |
|
3 |
1 |
1 |
-1 |
-1 |
1 |
1 |
-1 |
-1 |
|
4 |
1 |
-1 |
-1 |
1 |
1 |
-1 |
-1 |
1 |
|
5 |
1 |
1 |
1 |
1 |
-1 |
-1 |
-1 |
-1 |
|
6 |
1 |
1 |
1 |
-1 |
1 |
1 |
-1 |
1 |
|
7 |
1 |
1 |
-1 |
-1 |
-1 |
-1 |
1 |
1 |
|
8 |
1 |
-1 |
-1 |
1 |
-1 |
1 |
1 |
-1 |
Оцінка дисперсії ознаки
здійснюється
за формулою [5]:

де
–
оцінка ознаки
по
реплікації t;
–оцінка
ознаки
по
всій вибірці; t – поточний номер реплікації, t=1,2,...,T.
2. Інформаційне забезпечення
2.1. Вхідна інформація
Вхідною інформацією для розрахунку характеристик надійності оцінювання показників за результатами ОЕАН є файл первинних даних обстеження у форматі програми „SPSS”, що містить ознаки (по домогосподарствах, або по членах домогосподарств), по яких будуються оцінки та додаткові змінні, необхідні для розрахунків.
Додаткові змінні:
– порядковий номер запису (ім’я змінної – id) ;
– статистична вага домогосподарств (членів домогосподарств – w_q);
– страти для України (strt_ua);
– код територій (регіонів) за КОАТУУ (rg);
– страти для регіонів (strt_rg);
– код економічного району (rn);
– страти для економічних районів (strt_rn);
– код територіальних одиниць вибірки для України (psu_ua);
– код територіальних одиниць вибірки для регіонів (psu_rg);
– код
територіальних одиниць вибірки для економічних районів (psu_rn).
Слід зауважити, що імена змінних є довільними, але їх необхідно задавати з використанням латинського шрифту (при цьому мітки змінних можуть задаватися з використанням кирилиці), оскільки програмний пакет „WesVarPC”, який використовується для розрахунку похибки вибірки, символи кирилиці ідентифікує як помилку.
2.2. Вихідна інформація
Вихідною інформацією є файл *.lst («*» – ім’я файлу "SPSS" з вхідною інформацією, якщо не задати іншого імені), який є результатом роботи програми „WesVarPC” і містить результати розрахунків. Структуру файлу наведено у додатку 1.
На початку файла міститься інформація про програму, дату розрахунку, місцезнаходження вхідної та вихідної інформації та загальні параметри для розрахунку. Далі послідовно ідуть результати розрахунків для замовлених таблиць.
Перші стовпчики результатів розрахунку (один для одномірних таблиць, два – для двомірних і т.д.) містять значення класифікаційних змінних, по яких було побудовано комірки таблиць. Графи «STATISTIC» та «EST_TYPE» містять інформацію про характер та тип оцінки. У графі «ESTIMATE» наведено оцінку показника. Графи «STDERROR» та «CV» містять стандартну похибку та коефіцієнт варіації (відносну стандартну похибку) оцінки. Графа «N» містить дані про кількість одиниць вибірки у групі, для якої розраховується оцінка показника. Графа «DEFF» містить оцінку величини дизайн-ефекту.
3. Порядок побудови додаткових змінних
Змінні strt_ua, strt_rg, strt_rn, psu_ua, psu_rg, psu_rn будуються окремо для кожного дизайну вибірки та для конкретного методу розрахунку похибки вибірки.
3.1. Побудова змінної strt_ua
Змінна strt_ua – страти для України по регіонах та по типах місцевості, приймає значення, які наведено у додатку 2.
3.2. Побудова змінної strt_rg
У межах кожного регіону будується своя система страт з нумерацією від 1 до S. Для цього:
а) всі ВТОВ по міських поселеннях і ПТОВ по сільській місцевості в межах регіону розташовуються в порядку зростання номерів;
б) кожні дві ВТОВ по міських поселеннях або ПТОВ по сільській місцевості, починаючи з першої у ранжованому ряді, зараховуються до окремої страти. За необхідністю декілька територіальних одиниць можуть об’єднуватись в один кластер. Страти, побудовані для міських поселень, не можуть включати територіальних одиниць сільської місцевості, а страти сільської місцевості – територіальних одиниць міських поселень.
в) страти нумеруються у порядку зростання номерів – 1, 2, 3, . . . , S.
Якщо кількість ПТОВ непарна, то окрему ПТОВ умовно можна розділити на дві. Значення змінної strt_rg для всіх регіонів України та номери ПТОВ, які входять до кожного шару наведені у додатку 3.
3.3. Побудова змінної psu_ua
У межах кожної страти для України (strt_ua) ПТОВ розташовуються у порядку зростання номерів. Для першої по порядку ПТОВ змінна psu_ua приймає значення 1, для другої – 2.
3.4. Побудова змінної psu_rg
У межах кожної страти для регіонів (strt_rg) ПТОВ розташовуються у порядку зростання номерів. Для першої по порядку ПТОВ змінна psu_rg приймає значення 1, для другої – 2.
Інструктивні матеріали розрахунку характеристик надійності оцінювання показників за допомогою програми „WesVarPC” наведено у додатку 4.
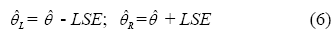
4. Розрахунок граничної похибки вибірки
Гранична похибка вибірки для оцінок
показників за результатами ОЕАН розраховується за 95% рівнем довірчої
імовірності (
,
див. табл. 1.) за формулою:

Довірчі межі інтервальної оцінки визначаються за формулою (6).
5. Розрахунок середньоквадратичної похибки
Поточні оцінки показників (місячні, квартальні, річні), розраховані за результатами ОЕАН для певних територій (національний рівень, регіональний рівень), є незміщеними. Таким чином, величина середньоквадратичної похибки дорівнює величині дисперсії вибіркових оцінок показників, величина загальної похибки – величині стандартній похибці, а величина відносної загальної похибки – величині коефіцієнта варіації.
За умови використання оцінок показників за результатами
ОЕАН як зміщених оцінок (наприклад, для отримання поточних оцінок за певний
період часу використовуються дані інших періодів, а оцінок по певних територіях
– інформація по інших територіях) або складних зміщених оціночних функцій,
величина середньоквадратичної похибки та всіх похідних від неї визначається за
формулами (8) – (10). При цьому для кожної оцінки необхідно визначити величину
зміщення
,
що є у більшості випадків серйозною статистичною проблемою. Розгляд методів
оцінки зміщень виходить за межі даної методики.
6. Приклад розрахунку
Розглянемо приклад розрахунку характеристик надійності оцінювання загальної кількості зайнятих за результатами ОЕАН у І кварталі 2006 року по Чернівецькій області. У цьому кварталі в обстеженні взяли участь 2461 осіб віком 15-70 років, з яких 1707 осіб були визначені як зайняті. Пряма оцінка кількості зайнятих у віці 15-70 років у генеральній сукупності (побудована з урахуванням системи статистичних ваг осіб) дорівнює 348886 осіб.
Для визначення характеристик надійності прямої оцінки на основі реплікаційного методу BRR побудовано дев’ять страт, в кожній з яких виділено по два кластери (див. додаток 3).
За принципами побудови збалансованих реплікацій сформовано матрицю Адамара, яка має наступний вигляд (матриця побудована в програмному пакеті „WesVarPC”):
Таблиця 3
Система реплікацій для вибірки, яка складається з 9 страт
|
Реплікація, t |
Страта, h |
||||||||
|
1 |
2 |
3 |
4 |
5 |
6 |
7 |
8 |
9 |
|
|
1 |
1 |
1 |
1 |
1 |
1 |
1 |
1 |
1 |
1 |
|
2 |
-1 |
1 |
-1 |
1 |
1 |
1 |
-1 |
-1 |
-1 |
|
3 |
-1 |
-1 |
1 |
-1 |
1 |
1 |
1 |
-1 |
-1 |
|
4 |
1 |
-1 |
-1 |
1 |
-1 |
1 |
1 |
1 |
-1 |
|
5 |
-1 |
1 |
-1 |
-1 |
1 |
-1 |
1 |
1 |
1 |
|
6 |
-1 |
-1 |
1 |
-1 |
-1 |
1 |
-1 |
1 |
1 |
|
7 |
-1 |
-1 |
-1 |
1 |
-1 |
-1 |
1 |
-1 |
1 |
|
8 |
1 |
-1 |
-1 |
-1 |
1 |
-1 |
-1 |
1 |
-1 |
|
9 |
1 |
1 |
-1 |
-1 |
-1 |
1 |
-1 |
-1 |
1 |
|
10 |
1 |
1 |
1 |
-1 |
-1 |
-1 |
1 |
-1 |
-1 |
|
11 |
-1 |
1 |
1 |
1 |
-1 |
-1 |
-1 |
1 |
-1 |
|
12 |
1 |
-1 |
1 |
1 |
1 |
-1 |
-1 |
-1 |
1 |
Системи статистичних ваг одиниць, що відповідають повній вибірці та реплікаціям за стратами представлено на рис. 2.
Оцінки кількості зайнятих та квадрату різниці прямої та реплікаційних оцінок для кожної реплікації наведені у табл. 4 (тут і далі для спрощення сприйняття, результати наводяться після округлення до двох знаків після коми).

Рис. 2. Розподіл статистичних ваг осіб за стратами, побудованими для реалізації процедури BRR при розрахунку характеристик надійності оцінювання кількості зайнятих у віці 15-70 років по Чернівецькій області за результатами ОЕАН у І кварталі 2006 року: а - ваги дизайну; б – ї – реплікаційні ваги.
Таблиця 4
Оцінки кількості зайнятих у віці 15-70 років за реплікаціями, побудованими для визначення характеристик надійності цього показника по Чернівецькій області
|
Номер реплікації,
|
тис. осіб |
|
|
1 |
354,92 |
36,36 |
|
2 |
367,42 |
343,36 |
|
3 |
347,67 |
1,49 |
|
4 |
336,59 |
151,29 |
|
5 |
349,27 |
0,14 |
|
6 |
376,46 |
760,10 |
|
7 |
300,21 |
2369,74 |
|
8 |
383,83 |
1220,80 |
|
9 |
357,77 |
78,85 |
|
10 |
310,47 |
1476,10 |
|
11 |
348,91 |
0,00 |
|
12 |
353,11 |
17,81 |
|
|
||
Пряма оцінка
кількості зайнятих
тис.
осіб.
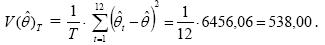
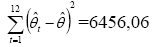
Дисперсія прямої оцінки визначається за формулою (11):

Стандартна похибка визначається за формулою (2):

Коефіцієнт варіації визначається за формулою (4):

Гранична похибка оцінки кількості зайнятих визначається за формулою (12):

7. Технологія розрахунку характеристик надійності
Технологія розрахунку похибки вибірки за результатами ОЕАН орієнтована на використання стандартних програмних пакетів „SPSS”, „WesVarPC”, „EXCEL”. Для розрахунку похибки вибірки необхідно послідовно виконати наступні роботи.
1) За допомогою програми „SPSS” підготувати робочий масив даних по особах у віці 15 – 70 років (або по домогосподарствах), що містить ознаки, по яких розраховуються показники, ключові змінні (код особи, код домогосподарства, загальнодержавний код територіальної одиниці тощо, класифікаційні змінні (наприклад, тип населеного пункту) та статистичні ваги – масив для аналізу похибки вибірки. Цей масив доцільно не перевантажувати зайвими змінними.
2) За допомогою програми „SPSS” сформувати у робочому масиві даних додаткові змінні, необхідні для розрахунків (див. розділ 3). Це доцільно здійснювати автоматизовано шляхом злиття робочого масиву із спеціальним масивом, який містить додаткові змінні. Ключовою змінною для злиття масивів є загальнодержавний номер ВТОВ, ПТОВ.
Крім того, для файлів, створених у версіях „SPSS”, які перевищують восьму (наприклад, 10-12 версії), слід здійснити конвертацію робочого файлу у формат *.dbf . Це пов’язано з тим, що програма "WesVarPC" не працює із зазначеними версіями.
3) За допомогою програми "WesVarPC" слід здійснити наступне:
- імпортувати робочий масив у формат "WesVarPC", тобто створити робочий файл у форматі "*.var";
- розрахувати реплікаційні ваги домогосподарств (або членів домогосподарств);
- сформувати таблиці для аналізу та типи оцінок показників;
- розрахувати оцінки показників та характеристики якості цих оцінок.
Після формування файлу з результатами розрахунків доцільно зберігати завдання на розрахунок (request) під відповідними іменами (наприклад, таблиця 1 для рівня України – tabl1_ua.wvq). При цьому, для виконання повторних розрахунків для будь-якого робочого файлу, назви повинні бути уніфіковані.
4) Засобами "Windows" слід надати нове стандартне ім’я файла з результатами розрахунків (початково цей файл має ім’я робочого файла з розширенням *.lst). Це необхідно, оскільки при здійсненні інших розрахунків по цьому ж робочому файла результати будуть перезаписуватись в один і той же файл без додаткових попереджуючих запитань з боку програми.
5) За допомогою програми „EXCEL” слід відкрити файл з результатами розрахунків та скопіювати лист з результатами у книгу „EXCEL”, в якій формуються вихідні таблиці, або таблиці для аналізу.
При цьому, реалізується можливість автоматичного заповнення вихідних таблиць та таблиць для аналізу в середовищі „EXCEL” з врахуванням ідентичності вихідного файла „WesVarPC” для ідентичних завдань на розрахунки при різних робочих файлах.
Джерела
1. Вибіркове спостереження: Термінологічний словник. – К.: НТК статистичних досліджень, 2004.
2. Методологічні основи формування вибіркових сукупностей для проведення органами державної статистики України базових державних вибіркових обстежень населення (домогосподарств) / Затверджені наказом Держкомстату України від 2 серпня 2005 р., №223. – к., 2005 р.
3. Kish L. Survey sampling. – Wiley Classics Library Edition Published 1995. – 643 p.
4. Кокрен У. Методы выборочного исследования. – М.: Статистика, 1976. – 440 с.
5. A User’s Guide to WesVarPC // J.M. Brick, P. Broene, P. James, J. Severynse. – Rockville: Westat, Inc., 1997. – 214 p.
6. Лидл Р., Пильц Г. Прикладная абстрактная алгебра: Учебн. пособ. – Екатеринбург: Изд-во Уральского ун-та, 1996. – 744с.
Додаток 1
Вихідні дані та таблиці з результатами розрахунків
PC WESVAR VERSION NUMBER: 02.дек
TIME THE JOB EXECUTED: 15:19:57 06/21/106
INPUT DATASET NAME: D:\Otdel\Lysa\Work_2006\Labour\Quality\I_quartal\SE_Iq_06ua.var
OUTPUT LISTING: D:\Otdel\Lysa\Work_2006\Labour\Quality\I_quartal\SE_Iq_06ua.LST
OPTION NOSUMMARY IS: OFF
OPTION FUNCTION LOG IS: OFF
OPTION ALIGNMENT IS: OFF
OPTION EXPORT IS: OFF
VARIANCE ESTIMATION METHOD: BRR
FINITE POPULATION CORRECTION FACTOR: 1.00000
VALUE OF ALPHA (CONFIDENCE INTERVAL %): 0.05000 (95.00000%)
DEGREES OF FREEDOM: INFINITE
t VALUE: 1.960
OPTION COMPLETE IS: ON
FULL SAMPLE WEIGHT: WG_PST4
REPLICATE WEIGHTS: RPL001...RPL052
ANALYSIS VARIABLES: None Specified.
COMPUTE STATISTIC: None Specified.
TABLE REQUESTS: ZAN*STAT
FACTOR(S): 1.00
|
TABLE |
REQUEST |
: |
ZAN |
* |
STAT |
|
|
|
|
|
|
|
|
|
|
|
|
|
|
ZAN |
STAT |
STATISTIC |
EST_TYPE |
ESTIMATE |
STDERROR |
CV(%) |
N |
DEFF |
|
0 |
1.00 |
SUM_WTS |
VALUE |
25684887.57 |
319901.695 |
1.245 |
23106 |
N/A |
|
0 |
2.00 |
SUM_WTS |
VALUE |
17605071.51 |
253400.995 |
1.439 |
16115 |
N/A |
|
0 |
MARGINAL |
SUM_WTS |
VALUE |
43289959.08 |
469160.020 |
1.084 |
39221 |
N/A |
|
1 |
1.00 |
SUM_WTS |
VALUE |
31170831.06 |
299380.768 |
0.960 |
29880 |
N/A |
|
1 |
2.00 |
SUM_WTS |
VALUE |
32901662.28 |
406602.809 |
1.236 |
29259 |
N/A |
|
1 |
MARGINAL |
SUM_WTS |
VALUE |
64072493.34 |
625732.384 |
0.977 |
59139 |
N/A |
|
MARGINAL |
1.00 |
SUM_WTS |
VALUE |
56855718.63 |
365016.193 |
0.642 |
52986 |
N/A |
|
MARGINAL |
2.00 |
SUM_WTS |
VALUE |
50506733.79 |
452977.162 |
0.897 |
45374 |
N/A |
|
MARGINAL |
MARGINAL |
SUM_WTS |
VALUE |
107362452.42 |
628694.531 |
0.586 |
98360 |
N/A |
|
0 |
1.00 |
SUM_WTS |
COLPCT |
45.18 |
0.444 |
0.983 |
23106 |
4.217 |
|
0 |
2.00 |
SUM_WTS |
COLPCT |
34.86 |
0.456 |
1.307 |
16115 |
4.150 |
|
0 |
MARGINAL |
SUM_WTS |
COLPCT |
40.32 |
0.410 |
1.018 |
39221 |
6.883 |
|
1 |
1.00 |
SUM_WTS |
COLPCT |
54.82 |
0.444 |
0.810 |
29880 |
4.217 |
|
1 |
2.00 |
SUM_WTS |
COLPCT |
65.14 |
0.456 |
0.700 |
29259 |
4.150 |
|
1 |
MARGINAL |
SUM_WTS |
COLPCT |
59.68 |
0.410 |
0.688 |
59139 |
6.883 |
|
MARGINAL |
1.00 |
SUM_WTS |
COLPCT |
100.00 |
0.000 |
0.000 |
52986 |
. |
|
MARGINAL |
2.00 |
SUM_WTS |
COLPCT |
100.00 |
0.000 |
0.000 |
45374 |
. |
|
MARGINAL |
MARGINAL |
SUM_WTS |
COLPCT |
100.00 |
0.000 |
0.000 |
98360 |
. |
Додаток 2
Значення змінної strt_ua
|
Регіон |
Тип місцевості |
strt_ua |
|
Автономна Республіка Крим |
міська |
1 |
|
|
сільська |
2 |
|
Вінницька |
міська |
3 |
|
|
сільська |
4 |
|
Волинська |
міська |
5 |
|
|
сільська |
6 |
|
Дніпропетровська |
міська |
7 |
|
|
сільська |
8 |
|
Донецька |
міська |
9 |
|
|
сільська |
10 |
|
Житомирська |
міська |
11 |
|
|
сільська |
12 |
|
Закарпатська |
міська |
13 |
|
|
сільська |
14 |
|
Запорізька |
міська |
15 |
|
|
сільська |
16 |
|
Івано-Франківська |
міська |
17 |
|
|
сільська |
18 |
|
Київська |
міська |
19 |
|
|
сільська |
20 |
|
Кіровоградська |
міська |
21 |
|
|
сільська |
22 |
|
Луганська |
міська |
23 |
|
|
сільська |
24 |
|
Львівська |
міська |
25 |
|
|
сільська |
26 |
|
Миколаївська |
міська |
27 |
|
|
сільська |
28 |
|
Одеська |
міська |
29 |
|
|
сільська |
30 |
|
Полтавська |
міська |
31 |
|
|
сільська |
32 |
|
Рівненська |
міська |
33 |
|
|
сільська |
34 |
|
Сумська |
міська |
35 |
|
|
сільська |
36 |
|
|
|
|
|
Тернопільська |
міська |
37 |
|
|
сільська |
38 |
|
Харківська |
міська |
39 |
|
|
сільська |
40 |
|
Херсонська |
міська |
41 |
|
|
сільська |
42 |
|
Хмельницька |
міська |
43 |
|
|
сільська |
44 |
|
Черкаська |
міська |
45 |
|
|
сільська |
46 |
|
Чернівецька |
міська |
47 |
|
|
сільська |
48 |
|
Чернігівська |
міська |
49 |
|
|
сільська |
50 |
|
м. Київ |
міська |
51 |
|
м. Севастополь |
міська |
52 |
Додаток 3
Значеня змінної strt_rg
|
Регіон |
strt_rg |
Номери |
|
Автономна Республіка Крим |
1 |
1, 2 |
|
|
2 |
3, 4 |
|
|
3 |
5, 6 |
|
|
4 |
7, 8 |
|
|
5 |
9, 10 |
|
|
6 |
11, 12 |
|
|
7 |
13, 14 |
|
|
8 |
15, 16 |
|
|
9 |
17, 18 |
|
|
10 |
19, 20 |
|
|
11 |
21, 22 |
|
|
12 |
23, 24 |
|
|
13 |
25, 26 |
|
|
14 |
27, 28 |
|
|
15 |
2001-2012 |
|
|
16 |
2013-2024 |
|
|
17 |
2025-2036 |
|
|
18 |
2037-2048 |
|
|
19 |
2049-2060 |
|
Вінницька |
1 |
29, 30 |
|
|
2 |
31, 32 |
|
|
3 |
33, 34 |
|
|
4 |
35, 36 |
|
|
5 |
37, 38 |
|
|
6 |
39, 40 |
|
|
7 |
41, 42 |
|
|
8 |
43, 44 |
|
|
9 |
45, 46 |
|
|
10 |
2061-2071 |
|
|
11 |
2072-2082 |
|
|
12 |
2083-2093 |
|
|
13 |
2094-2105 |
|
|
14 |
2106-2117 |
|
|
15 |
2118-2129 |
|
|
16 |
2130-2141 |
|
|
17 |
2142-2153 |
|
|
18 |
2154-2165 |
|
Волинська |
1 |
47, 48 |
|
|
2 |
49, 50 |
|
|
3 |
51, 52 |
|
|
4 |
53, 54 |
|
|
5 |
55, 56 |
|
|
6 |
57, 58 |
|
|
7 |
59, 60 |
|
|
8 |
2166-2179 |
|
|
9 |
2180-2193 |
|
|
10 |
2194-2207 |
|
|
11 |
2208-2221 |
|
|
12 |
2222-2234 |
|
Дніпропетровська |
1 |
61, 62 |
|
|
2 |
63, 64 |
|
|
3 |
65, 66 |
|
|
4 |
67, 68 |
|
|
5 |
69, 70 |
|
|
6 |
71, 72 |
|
|
7 |
73, 74 |
|
|
8 |
75, 76 |
|
|
9 |
77, 78 |
|
|
10 |
79, 80 |
|
|
11 |
81, 82 |
|
|
12 |
83, 84 |
|
|
13 |
85, 86 |
|
|
14 |
87, 88 |
|
|
15 |
89, 90 |
|
|
16 |
91, 92 |
|
|
17 |
93, 94 |
|
|
18 |
95, 96 |
|
|
19 |
97, 98 |
|
|
20 |
99, 100 |
|
|
21 |
101, 102 |
|
|
22 |
103, 104 |
|
|
23 |
105, 106 |
|
|
24 |
107, 108 |
|
|
25 |
109, 110 |
|
|
26 |
111, 112 |
|
|
27 |
113, 114 |
|
|
28 |
115, 116 |
|
|
29 |
117, 118 |
|
|
30 |
2235-2246 |
|
|
31 |
2247-2258 |
|
|
32 |
2259-2270 |
|
|
33 |
2271-2283 |
|
|
34 |
2284-2296 |
|
|
35 |
2297-2309 |
|
Донецька |
1 |
119, 120 |
|
|
2 |
121, 122 |
|
|
3 |
123, 124 |
|
|
4 |
125, 126 |
|
|
5 |
127, 128 |
|
|
6 |
129, 130 |
|
|
7 |
131, 132 |
|
|
8 |
133, 134 |
|
|
9 |
135, 136 |
|
|
10 |
137, 138 |
|
|
11 |
139, 140 |
|
|
12 |
141, 142 |
|
|
13 |
143, 144 |
|
|
14 |
145, 146 |
|
|
15 |
147, 148 |
|
|
16 |
149, 150 |
|
|
17 |
151, 152 |
|
|
18 |
153, 154 |
|
|
19 |
155, 156 |
|
|
20 |
157, 158 |
|
|
21 |
159, 160 |
|
|
22 |
161, 162 |
|
|
23 |
163, 164 |
|
|
24 |
165, 166 |
|
|
25 |
167, 168 |
|
|
26 |
169, 170 |
|
|
27 |
171, 172 |
|
|
28 |
173, 174 |
|
|
29 |
175, 176 |
|
|
30 |
177, 178 |
|
|
31 |
179, 180 |
|
|
32 |
181, 182 |
|
|
33 |
183, 184 |
|
|
34 |
185, 186 |
|
|
35 |
187, 188 |
|
|
36 |
189, 190 |
|
|
37 |
191, 192 |
|
|
38 |
193, 194 |
|
|
39 |
195, 196 |
|
|
40 |
197, 198 |
|
|
41 |
199, 200 |
|
|
42 |
201, 202 |
|
|
43 |
2310-2323 |
|
|
44 |
2324-2337 |
|
|
45 |
2338-2351 |
|
|
46 |
2352-2366 |
|
Житомирська |
1 |
203, 204 |
|
|
2 |
205, 206 |
|
|
3 |
207, 208 |
|
|
4 |
209, 210 |
|
|
5 |
211, 212 |
|
|
6 |
213, 214 |
|
|
7 |
215, 216 |
|
|
8 |
217, 218 |
|
|
9 |
219, 220 |
|
|
10 |
2367-2381 |
|
|
11 |
2382-2396 |
|
|
12 |
2397-2412 |
|
|
13 |
2413-2428 |
|
|
14 |
2429-2444 |
|
Закарпатська |
1 |
221, 222 |
|
|
2 |
223, 224 |
|
|
3 |
225, 226 |
|
|
4 |
227, 228 |
|
|
5 |
229, 230 |
|
|
6 |
231, 232 |
|
|
7 |
233, 234 |
|
|
8 |
2445-2460 |
|
|
9 |
2461-2476 |
|
|
10 |
2477-2493 |
|
|
11 |
2494-2510 |
|
Запорізька |
1 |
235, 236 |
|
|
2 |
237, 238 |
|
|
3 |
239, 240 |
|
|
4 |
241, 242 |
|
|
5 |
243, 244 |
|
|
6 |
245, 246 |
|
|
7 |
247, 248 |
|
|
8 |
249, 250 |
|
|
9 |
251, 252 |
|
|
10 |
253, 254 |
|
|
11 |
255, 256 |
|
|
12 |
257, 258 |
|
|
13 |
259, 260 |
|
|
14 |
261, 262 |
|
|
15 |
263, 264 |
|
|
16 |
2511-2522 |
|
|
17 |
2523-2534 |
|
|
18 |
2535-2546 |
|
|
19 |
2547-2559 |
|
|
20 |
2560-2572 |
|
|
21 |
2573-2585 |
|
Івано-Франківська |
1 |
265, 266 |
|
|
2 |
267, 268 |
|
|
3 |
269, 270 |
|
|
4 |
271, 272 |
|
|
5 |
273, 274 |
|
|
6 |
275, 276 |
|
|
7 |
277, 278 |
|
|
8 |
2586-2597 |
|
|
9 |
2598-2609 |
|
|
10 |
2610-2621 |
|
|
11 |
2622-2633 |
|
|
12 |
2634-2645 |
|
|
13 |
2646-2657 |
|
Київська (без м. Києва) |
1 |
279, 280 |
|
|
2 |
281, 282 |
|
|
3 |
283, 284 |
|
|
4 |
285, 286 |
|
|
5 |
287, 288 |
|
|
6 |
289, 290 |
|
|
7 |
291, 292 |
|
|
8 |
293, 294 |
|
|
9 |
295, 296 |
|
|
10 |
297, 298 |
|
|
11 |
299, 300 |
|
|
12 |
2658-2669 |
|
|
13 |
2670-2681 |
|
|
14 |
2682-2693 |
|
|
15 |
2694-2705 |
|
|
16 |
2706-2718 |
|
|
17 |
2719-2731 |
|
|
18 |
2732-2744 |
|
Кіровоградська |
1 |
301, 302 |
|
|
2 |
303, 304 |
|
|
3 |
305, 306 |
|
|
4 |
307, 308 |
|
|
5 |
309, 310 |
|
|
6 |
311, 312 |
|
|
7 |
313, 314 |
|
|
8 |
315, 316 |
|
|
9 |
317, 318 |
|
|
10 |
2745-2758 |
|
|
11 |
2759-2772 |
|
|
12 |
2773-2786 |
|
|
13 |
2787-2800 |
|
|
14 |
2801-2813 |
|
Луганська |
1 |
319, 320 |
|
|
2 |
321, 322 |
|
|
3 |
323, 324 |
|
|
4 |
325, 326 |
|
|
5 |
327, 328 |
|
|
6 |
329, 330 |
|
|
7 |
331, 332 |
|
|
8 |
333, 334 |
|
|
9 |
335, 336 |
|
|
10 |
337, 338 |
|
|
11 |
339, 340 |
|
|
12 |
341, 342 |
|
|
13 |
343, 344 |
|
|
14 |
345, 346 |
|
|
15 |
347, 348 |
|
|
16 |
349, 350 |
|
|
17 |
351, 352 |
|
|
18 |
353, 354 |
|
|
19 |
355, 356 |
|
|
20 |
357, 358 |
|
|
21 |
359, 360 |
|
|
22 |
361, 362 |
|
|
23 |
363, 364 |
|
|
24 |
365, 366 |
|
|
25 |
2814-2827 |
|
|
26 |
2828-2841 |
|
|
27 |
2842-2855 |
|
|
28 |
2856-2870 |
|
Львівська |
1 |
367, 368 |
|
|
2 |
369, 370 |
|
|
3 |
371, 372 |
|
|
4 |
373, 374 |
|
|
5 |
375, 376 |
|
|
6 |
377, 378 |
|
|
7 |
379, 380 |
|
|
8 |
381, 382 |
|
|
9 |
383, 384 |
|
|
10 |
385, 386 |
|
|
11 |
387, 388 |
|
|
12 |
389, 390 |
|
|
13 |
391, 392 |
|
|
14 |
393, 394 |
|
|
15 |
395, 396 |
|
|
16 |
397, 398 |
|
|
17 |
399, 400 |
|
|
18 |
2871-2884 |
|
|
19 |
2885-2898 |
|
|
20 |
2899-2912 |
|
|
21 |
2913-2927 |
|
|
22 |
2928-2942 |
|
|
23 |
2943-2957 |
|
|
24 |
2958-2972 |
|
Миколаївська |
1 |
401, 402 |
|
|
2 |
403, 404 |
|
|
3 |
405, 406 |
|
|
4 |
407, 408 |
|
|
5 |
409, 410 |
|
|
6 |
411, 412 |
|
|
7 |
413, 414 |
|
|
8 |
415, 416 |
|
|
9 |
417, 418 |
|
|
10 |
2973-2988 |
|
|
11 |
2989-3004 |
|
|
12 |
3005-3020 |
|
|
13 |
3021-3035 |
|
Одеська |
1 |
419, 420 |
|
|
2 |
421, 422 |
|
|
3 |
423, 424 |
|
|
4 |
425, 426 |
|
|
5 |
427, 428 |
|
|
6 |
429, 430 |
|
|
7 |
431, 432 |
|
|
8 |
433, 434 |
|
|
9 |
435, 436 |
|
|
10 |
437, 438 |
|
|
11 |
439, 440 |
|
|
12 |
441, 442 |
|
|
13 |
443, 444 |
|
|
14 |
445, 446 |
|
|
15 |
447, 448 |
|
|
16 |
449, 450 |
|
|
17 |
451, 452 |
|
|
18 |
3036-3047 |
|
|
19 |
3048-3059 |
|
|
20 |
3060-3071 |
|
|
21 |
3072-3083 |
|
|
22 |
3084-3095 |
|
|
23 |
3096-3107 |
|
|
24 |
3108-3119 |
|
|
25 |
3120-3131 |
|
Полтавська |
1 |
453, 454 |
|
|
2 |
455, 456 |
|
|
3 |
457, 458 |
|
|
4 |
459, 460 |
|
|
5 |
461, 462 |
|
|
6 |
463, 464 |
|
|
7 |
465, 466 |
|
|
8 |
467, 468 |
|
|
9 |
469, 470 |
|
|
10 |
471, 472 |
|
|
11 |
473, 474 |
|
|
12 |
3132-3143 |
|
|
13 |
3144-3155 |
|
|
14 |
3156-3167 |
|
|
15 |
3168-3179 |
|
|
16 |
3180-3192 |
|
|
17 |
3193-3205 |
|
|
18 |
3206-3218 |
|
Рівненська |
1 |
475, 476 |
|
|
2 |
477, 478 |
|
|
3 |
479, 480 |
|
|
4 |
481, 482 |
|
|
5 |
483, 484 |
|
|
6 |
485, 486 |
|
|
7 |
487, 488 |
|
|
8 |
3219-3232 |
|
|
9 |
3233-3246 |
|
|
10 |
3247-3260 |
|
|
11 |
3261-3275 |
|
Сумська |
1 |
489, 490 |
|
|
2 |
491, 492 |
|
|
3 |
493, 494 |
|
|
4 |
495, 496 |
|
|
5 |
497, 498 |
|
|
6 |
499, 500 |
|
|
7 |
501, 502 |
|
|
8 |
503, 504 |
|
|
9 |
505, 506 |
|
|
10 |
3276-3287 |
|
|
11 |
3288-3299 |
|
|
12 |
3300-3311 |
|
|
13 |
3312-3325 |
|
|
14 |
3326-3338 |
|
Тернопільська |
1 |
507, 508 |
|
|
2 |
509, 510 |
|
|
3 |
511, 512 |
|
|
4 |
513, 514 |
|
|
5 |
515, 516 |
|
|
6 |
517, 518 |
|
|
7 |
3339-3352 |
|
|
8 |
3353-3366 |
|
|
9 |
3367-3380 |
|
|
10 |
3381-3394 |
|
|
11 |
3395-3407 |
|
Харківська |
1 |
519, 520 |
|
|
2 |
521, 522 |
|
|
3 |
523, 524 |
|
|
4 |
525, 526 |
|
|
5 |
527, 528 |
|
|
6 |
529, 530 |
|
|
7 |
531, 532 |
|
|
8 |
533, 534 |
|
|
9 |
535, 536 |
|
|
10 |
537, 538 |
|
|
11 |
539, 540 |
|
|
12 |
541, 542 |
|
|
13 |
543, 544 |
|
|
14 |
545, 546 |
|
|
15 |
547, 548 |
|
|
16 |
549, 550 |
|
|
17 |
551, 552 |
|
|
18 |
553, 554 |
|
|
19 |
555, 556 |
|
|
20 |
557, 558 |
|
|
21 |
559, 560 |
|
|
22 |
561, 562 |
|
|
23 |
563, 564 |
|
|
24 |
565, 566 |
|
|
25 |
3408-3419 |
|
|
26 |
3420-3431 |
|
|
27 |
3432-3443 |
|
|
28 |
3444-3455 |
|
|
29 |
3456-3466 |
|
|
30 |
3467-3477 |
|
|
31 |
3478-3488 |
|
Херсонська |
1 |
567, 568 |
|
|
2 |
569, 570 |
|
|
3 |
571, 572 |
|
|
4 |
573, 574 |
|
|
5 |
575, 576 |
|
|
6 |
577, 578 |
|
|
7 |
579, 580 |
|
|
8 |
581, 582 |
|
|
9 |
583, 584 |
|
|
10 |
3489-3500 |
|
|
11 |
3501-3512 |
|
|
12 |
3513-3524 |
|
|
13 |
3525-3536 |
|
|
14 |
3537-3548 |
|
|
15 |
3549-3560 |
|
Хмельницька |
1 |
585, 586 |
|
|
2 |
587, 588 |
|
|
3 |
589, 590 |
|
|
4 |
591, 592 |
|
|
5 |
593, 594 |
|
|
6 |
595, 596 |
|
|
7 |
597, 598 |
|
|
8 |
599, 600 |
|
|
9 |
601, 602 |
|
|
10 |
3561-3575 |
|
|
11 |
3576-3590 |
|
|
12 |
3591-3606 |
|
|
13 |
3607-3622 |
|
|
14 |
3623-3638 |
|
Черкаська |
1 |
603, 604 |
|
|
2 |
605, 606 |
|
|
3 |
607, 608 |
|
|
4 |
609, 610 |
|
|
5 |
611, 612 |
|
|
6 |
613, 614 |
|
|
7 |
615, 616 |
|
|
8 |
617, 618 |
|
|
9 |
619, 620 |
|
|
10 |
3639-3653 |
|
|
11 |
3654-3668 |
|
|
12 |
3669-3684 |
|
|
13 |
3685-3700 |
|
|
14 |
3701-3716 |
|
Чернівецька |
1 |
621, 622 |
|
|
2 |
623, 624 |
|
|
3 |
625, 626 |
|
|
4 |
627, 628 |
|
|
5 |
629, 630 |
|
|
6 |
3717-3728 |
|
|
7 |
3729-3741 |
|
|
8 |
3742-3754 |
|
|
9 |
3755-3767 |
|
Чернігівська |
1 |
631, 632 |
|
|
2 |
633, 634 |
|
|
3 |
635, 636 |
|
|
4 |
637, 638 |
|
|
5 |
639, 640 |
|
|
6 |
641, 642 |
|
|
7 |
643, 644 |
|
|
8 |
645, 646 |
|
|
9 |
647, 648 |
|
|
10 |
3768-3779 |
|
|
11 |
3780-3791 |
|
|
12 |
3792-3803 |
|
|
13 |
3804-3816 |
|
|
14 |
3817-3829 |
|
|
15 |
3830-3842 |
|
м.Київ |
1 |
649, 650 |
|
|
2 |
651, 652 |
|
|
3 |
653, 654 |
|
|
4 |
655, 656 |
|
|
5 |
657, 658 |
|
|
6 |
659, 660 |
|
|
7 |
661, 662 |
|
|
8 |
663, 664 |
|
|
9 |
665, 666 |
|
|
10 |
667, 668 |
|
|
11 |
669, 670 |
|
|
12 |
671, 672 |
|
|
13 |
673, 674 |
|
|
14 |
675, 676 |
|
|
15 |
677, 678 |
|
|
16 |
679, 680 |
|
|
17 |
681, 682 |
|
|
18 |
683, 684 |
|
|
19 |
685, 686 |
|
|
20 |
687, 688 |
|
|
21 |
689, 690 |
|
|
22 |
691, 692 |
|
|
23 |
693, 694 |
|
|
24 |
695, 696 |
|
м. Севастополь |
1 |
697, 698 |
|
|
2 |
699, 700 |
|
|
3 |
701, 702 |
|
|
4 |
703, 704 |
Додаток 4
Інструктивні матеріали щодо розрахунку характеристик надійності оцінювання показників за результатами обстеження населення (домогосподарств) з питань економічної активності з використанням програмного пакету „WesVarPC”
Перед використанням програми "WesVarPC" для розрахунків характеристик надійності показників необхідно підготувати вхідний файл даних у форматі програмного пакету „SPSS” (наприклад, з іменем "SE_Iq_06.sav"). Цей файл формується на основі місячних масивів даних обстеження економічної активності населення (описання файла даних „SPSS” наведено у п. 2.1 цієї методики). Після завершення формування вхідного файла даних, його слід зберегти у форматі „dbf” за допомогою програмного засобу „dBase”.
1. Запуск програми
Для запуску програми „WesVarPC” необхідно знайти місцезнаходження файла „wesvar32.exe” і запустити його, або, якщо після інсталяції програми її ярлик було виведено на робочий стіл „Windows” (див. рис. 1), то програму слід запустити безпосередньо з робочого столу.

Рис. 1. Ярлик для запуску програми „WesVarPC”
Після запуску програми на екрані з’являється вікно програми (див. рис. 2).

Рис. 2. Вікно програми „WesVarPC” та опції меню “Prep”
2. Конвертація вхідного файлу з формату програми „dBase” у формат програмного пакету „WesVarPC”
У пункті меню “Prep” вибрати опцію “Import Data File”, для відкриття вхідного файла формату dBase. На екрані з’являється діалогове вікно “Input Data Files” (див. рис. 3).

Рис. 3. Діалогове вікно “Input Data Files”
Вибираємо папку, у якій збережено вхідний файл, у полі “Тип файлов” слід вибрати тип файла “dBase(.dbf)”, у полі “Имя файла” вказати ім’я вхідного файла (наприклад, „SE_Iq_06.sav”). Після натискання кнопки “Открыть” з’являється вікно “Import dBase Data File” з іменем файла, що імпортується (див. рис. 4).

Рис. 4. Початковий вигляд вікна “Import dBase Data File”
У полі “Source Variables” великими літерами вказані імена всіх змінних вхідного файла.
3. Формування робочого файла у програмному пакеті „WesVarPC”
Для формування робочого файла необхідно виконати наступне:
1) за допомогою курсора
„миші” слід активізувати індикатор “Id”
(у віконці індикатора з’явиться чорна крапка). Потім, із списку змінних у полі
“Source Variables” вибрати змінну „IDD”.
Після натискання кнопки
, або
подвійного натискання на змінну „IDD”
у списку змінних, зазначена змінна буде перенесена у поле
індикатора “Id”;
2) аналогічно у полі індикатора “Full Sample” задається змінна, яка відповідає статистичним вагам – „WES_KV”;
3) у полі індикатора “Variables” із списку змінних вхідного файла переносяться всі змінні, необхідні для подальших розрахунків:
BEZROB – змінна-ознака безробітного;
EC_ACT – змінна-ознака економічно активного;
P4 – змінна-ознака тип місцевості;
PRAZ_V – змінна-ознака працездатного віку;
PSU_UA – код територіальних одиниць вибірки для України (шари для України);
RG – код регіону за КОАТУУ;
STAT – змінна-ознака стать респондента;
STRS_RG – страти для регіонів;
STRT_UA – страти для України;
VIKGROUP – змінна-ознака вікової групи;
ZAN – змінна-ознака зайнятого.
Для того, щоб вилучити
непотрібну змінну із будь-якого поля, слід натиснути кнопку
, або двічі –
на певну змінну.
Кінцевий вигляд вікна “Import dBase Data File” наведено на рис. 5.

Рис. 5. Кінцевий вигляд вікна “Import dBase Data File”
Для збереження заданих параметрів робочого файла потрібно натиснути кнопку “Create”. З’являється вікно “Notice” (див. рис. 6) з інформацією про відсутність реплікаційних ваг, які необхідні при розрахунках похибки вибірки. Для продовження роботи програми слід натиснути кнопку “Да”.

Рис. 6. Вікно з інформацією про відсутність реплікаційних ваг
Після цього з’являється діалогове вікно “WESVAR Files” (див. рис. 7), в якому вибирається папка та задається ім’я робочого файла формату „WesVarРС” (*.var). Для збереження файла необхідно натиснути кнопку “Сохранить”. При цьому програма автоматично залишає ім’я вхідного файла та змінює тільки розширення файла з „*.dbf” на „*.var”.

Рис. 7. Вікно для збереження робочого файла WesVar
У вікні програми, яке відображає динаміку процесу збереження робочого файла „WesVarРС”, у разі необхідності, можливо перервати цей процес за допомогою кнопки “Cancel” (див. рис. 8).

Рис. 8. Вікно відображення процесу збереження робочого файла „WesVarРС”
Після завершення формування робочого файла „WesVarРС” з’являється вікно “Information” з відповідною інформацією (див. рис. 9).

Рис. 9. Вікно з інформацією про завершення процесу збереження
Після натиснення кнопки “OK” з’являється вікно “Notice” з пропозицією створити реплікаційні ваги (див. рис. 10). Натиснути кнопку “Да”.

Рис. 10. Вікно з пропозицією створити реплікаційні ваги
4. Формування реплікаційних ваг
Після погодження з пропозицією про створення реплікаційних ваг з’явиться діалогове вікно “Creating Weights for WesVarPC Data File”, яке представлено на рис. 11.

Рис. 11. Початковий вигляд вікна “Creating Weights for WesVarPC Data File”
У полі “Source Variables” вказані імена всіх змінних сформованого робочого файла „WesVarРС”.
Для формування реплікаційних ваг необхідно:
1) обрати метод розрахунку – у полі “Method” проставивши індикатор біля позначки “BRR”;
2) у полі індикатора “VarUnit” задати змінну “PSU_UA” із списку змінних робочого файла;
3) у полі індикатора “VarStrat” проставити змінну “STRT_UA” із списку змінних робочого файла (якщо розрахунки будуть проводитись для рівня України) або змінну “STRS_RG”( для рівня регіонів).
Кінцевий вигляд вікна “Creating Weights for WesVarPC Data File” наведено на рис.12.

Рис. 12. Кінцевий вигляд діалогового вікна “Creating Weights for WesVarPC Data File”
Для збереження заданих параметрів формування реплікаційних ваг слід натиснути кнопку “Create”. У вікні, що з’явиться (див. рис. 7), необхідно задати ім’я файла та зробити до запропонованого імені букви „_UA” або „_RG” в залежності від рівня, для якого здійснюється обробка даних (по Україні чи регіонах). Наприклад, назва файла буде відповідно „SE_Iq_06_UA.var” або „SE_Iq_06_RG.var”. Після виконання зазначеної процедури слід натиснути кнопку “Сохранить”.
У вікні “WesVarPC” буде відображено динаміку процесу створення робочого файла програми з реплікаційними вагами та є можливість зупинити цей процес за допомогою кнопки “Cancel” (див. рис. 13).

Рис. 13. Вікно
відображення процесу створення файла
з реплікаційними вагами
Після завершення процесу формування файла з’являється вікно “Information” з інформацією про те, що реплікаційні ваги сформовано успішно (див. рис. 14).

Рис. 14. Вікно з інформацією про успішне формування реплікаційних ваг
Після закінчення вищезазначеної процедури слід повернутися до основного діалогового вікна програми „WesVarPC” (див. рис. 2).
5. Повторне формування реплікаційних ваг
Якщо розрахунки здійснюються для різних рівнів агрегації (по Україні чи регіонах), то необхідно виконати наступне:
1)сформувати робочий файл з реплікаційними вагами („SE_Iq_06_UA.var”) для рівня України, як описано в п. 3 та 4;
2) для формування реплікаційних ваг у пункті меню “Prep” основного діалогового вікна програми вибрати опцію “Create Replicate Weights” (див. рис. 15);

Рис. 15. Вибір опції формування реплікаційних ваг
3) вибрати робочий файл без реплікаційних ваг („SE_Iq_06.var”) та відкрити його, натиснувши кнопку “Открыть” (див. рис. 16);

Рис. 16. Вікно вибору робочого файла
4) після появи діалогового вікна “Creating Weights for WesVarPC Data File” (див. рис. 11), виконати операції, описані в п. 4. У результаті буде отримано робочий файл з реплікаційними вагами для подальших розрахунків для рівня регіонів („SE_Iq_06_RG.var”);
5) повернутися в основне вікно програми.
6. Побудова таблиць з характеристиками надійності
Для побудови таблиць потрібно обрати у пункті меню “Tables” основного діалогового вікна опцію “New” (див. рис. 17).

Рис. 17. Вибір опції для формування таблиць з характеристиками надійності
У діалоговому вікні “WESVAR Files” (див. рис. 16) потрібно вибрати робочий файл із реплікаційними вагами „SE_Iq_06_UA.var” та відкрити його, натиснувши кнопку “Открыть”.
Далі з’являється діалогове вікно “Table Request”, яке представлене на рис. 18.

Рис. 18. Вікно “Table Request”
Зазначене вікно можна умовно розділити на чотири зони:
– інформаційна зона, яка містить інформацію про робочий файл та файл виводу результатів розрахунків;
– зона опцій (“Options”), що задає певні параметри для розрахунків;
– зона описання виводу (“Display Summary”), що зосереджує інформацію про основні операції розрахунків та формат виводу результатів;
– зона функціональних кнопок, за допомогою яких формуються основні параметри розрахунків, здійснюється управління процесом розрахунку та робочим файлом.
6.1. Формування таблиць
Для формування таблиць з характеристиками надійності необхідно натиснути кнопку “Tables...” у зоні функціональних кнопок, після чого з’явиться діалогове вікно “Tables” (див. рис. 19).

Рис. 19. Вікно “Tables”
Після натискання кнопки “New...”, з’явиться вікно “Define Table” визначення таблиці (див. рис. 20).

Рис. 20. Вікно “Define Table”
У діалоговому вікні “Define Table” визначаються необхідні таблиці на основі існуючих змінних зі списку “Source Variables”. Для кожної таблиці розраховуються необхідні оцінки показників та характеристики її надійності.
6.1.1. Побудова одновимірних таблиць
У полі “Source Variables” слід двічі натиснути „мишею” по змінній, за якою будується одновимірна таблиця.
Після перенесення
змінної у поле “Table” слід натиснути кнопку
. В
результаті чого змінна перенесеться у поле “Selected”, бо лише після
цього по ній буде побудовано одновимірну таблицю.
6.1.2. Побудова двовимірних таблиць
Для побудови
двовимірних таблиць необхідно вибрати першу змінну (двічі натиснувши „мишею”),
за якою будується двовимірна таблиця (основний розподіл), а потім двічі
натиснути другу змінну, по якій будується двовимірна таблиця (внутрішній
розподіл). Після того, як обидві змінні будуть розділені символом “*” та
з’являться у полі “Table”, слід натиснути кнопку
, що
дозволить перенести їх у поле “Selected”. Таким чином буде побудовано
двомірну таблицю.
Аналогічно задаються будь-які інші таблиці.
Для прикладу, на рис.21 представлено вигляд вікна “Define Table” у процесі формування одновимірної (розподіл населення за статтю) та двовимірної таблиць (розподіл зайнятих за статтю).

Рис. 21. Вигляд вікна “Define Table” у процесі формування таблиць
Після того, як у полі “Selected” будуть знаходитися усі необхідні таблиці (за розрізами), слід повернутись до попереднього діалогового вікна “Tables”, натиснувши на кнопку “Close”. У полі “Tables” цього вікна будуть зазначені всі сформовані таблиці, а у полі “Options” – перелік оцінок, для яких розраховуються характеристики надійності (див. рис.22). При цьому, перелік оцінок може бути збільшений або зменшений, шляхом проставлення або зняття галочки біля певної оцінки. Для розрахунків використовується перелік оцінок, що задається автоматично.

Рис. 22. Вигляд вікна “Tables” після формування таблиць
Натиснувши кнопку “Close”, повертаємося до вікна “Table Request”. У полі “Tables” цього вікна перелічені всі сформовані таблиці (див. рис. 23).

Рис. 23. Вигляд вікна “Table Request” після формування таблиць
Для виконання цієї процедури слід натиснути кнопку “Run”. З’являється вікно, яке відображає динаміку процесу розрахунку оцінок та побудови таблиць (див. рис. 24).

Рис. 24. Вікно відображення процесу побудови таблиць
Після завершення процесу побудови таблиць з’являється відповідне повідомлення (див. рис. 25). За допомогою кнопки “OK” слід повернутися до вікна “Table Request” (див. рис. 23).

Рис. 25. Повідомлення про завершення процесу побудови таблиць
Результати розрахунків зберігаються у відповідному файлі з розширенням „*.LST” . Ознайомитись з результатами роботи програми можна натиснувши на кнопку “View” у вікні “Table Request” (див. рис. 23). В результаті даної маніпуляції з’являється вікно виводу “Browse” у тестовому форматі. Також результати можна переглянути, відкривши файл з результатами розрахунків у програмі „Excel”.
6.2. Побудова таблиць для показників зайнятості та економічної активності населення
Побудова таблиць для оцінки характеристик надійності показників зайнятості та економічної активності населення здійснюється у наступних розрізах:
– стать;
– місцевість;
– вікові групи;
– працездатне населення.
Для цього необхідно виконати процедури, описані в п. 6.1., але при формуванні таблиць у вікні “Define Table” (див. рис. 24) слід задавати таблиці наступним чином:
1) із списку змінних “Source Variables” вибрати змінні „EC_ACT” та „STAT”, перенести їх, описаним вище способом, до поля “Selected”;
2) із списку змінних “Source Variables” – змінні „EC_ACT” та „P4”, перенести їх до поля “Selected”;
3) із списку змінних “Source Variables” – змінні „EC_ACT” та „VIKGRUP”, перенести їх до поля “Selected”;
4) із списку змінних “Source Variables” – змінні „EC_ACT” та „PRAZ_V”, перенести їх до поля “Selected”.
5) повторити пункти дії, описані у п. 1– 4, вибравши замість змінної „EC_ACT” змінну ZAN.
Всього буде сформовано вісім таблиць. На рис. 26 представлено вигляд вікна “Table Request” після формування необхідних таблиць для показників зайнятості та економічної активності населення.

Рис. 26. Вигляд вікна “Table Request” після формування таблиць для показників зайнятості та економічної активності
Після повернення у вікно “Table Request” запустити побудову таблиць кнопкою “Run”.
6.3. Побудова таблиць для показників безробіття
Таблиці для оцінки характеристик надійності показників безробіття будуються у тих же розрізах, що і для показників, що характеризують зайнятість та економічну активність населення.
Побудова таблиць відбувається аналогічно до порядку побудови таблиць, описаного в п. 6.2. Лише при формуванні таблиць у вікні “Define Table” (див. рис. 24) замість змінних „EC_ACT” та „ZAN” слід вибрати змінну BEZROB.
Всього сформовано чотири таблиці. Після повернення у вікно “Table Request” (див. рис. 23) потрібно задати умови на сукупність одиниці, для яких виконуються розрахунки, зокрема:
1) натиснути на функціональну кнопку “Subset…”;
2) у вікні “Selected Subset Criteria” (див. рис. 27) вказати, що розрахунки проводяться лише по одиницях, які відповідають економічно активним особам, тобто змінна EC_ACT=1, для цього слід виконати наступне:
– двічі натиснути „мишею” по змінній EC_ACT у полі “Variables”, після чого змінна з’явиться у верхньому полі для запису умов;
– натиснути кнопку “=” в полі кнопок логічних операцій, тоді знак рівності з’явиться у верхньому полі для запису умов після змінної EC_ACT;
– поставити курсор у верхньому полі для запису умов після знаку рівності та набрати цифру „1” за допомогою клавіатури.

Рис. 27. Вікно “Selected Subset Criteria” накладання умови сукупність одиниці розрахунку
3) для повернення у вікно “Table Request” слід натиснути кнопку “Close”.
Після повернення у вікно “Table Request” (див. рис. 23) запустити побудову таблиць кнопкою “Run”.
6.4. Побудова таблиць для регіонального розрізу
У вікні “Table Request” (див. рис. 23) слід завантажити робочий файл із реплікаційними вагами для рівня регіонів („SE_Iq_06_RG.var”). Для цього необхідно натиснути функціональну кнопку “Input…”, а у вікні “WESVAR Files” (див. рис. 16) вибрати робочий файл „SE_Iq_06_RG.var” та відкрити його, натиснувши кнопку “Открыть”.
Спочатку будуються таблиці для показників зайнятості та економічної активності населення у розрізі регіонів („EC_ACT*RG”, „ZAN*RG”) за алгоритмом, що описаний у п. 6.2., а потім–таблиці для показників безробіття населення у розрізі регіонів (BEZROB*RG) відповідно до алгоритму, наведеному у п. 6.3.
Після побудови всіх необхідних таблиць слід натиснути кнопку “Close” у вікні “Table Request” (див. рис. 23) та повернутися до головного вікна програми (рис. 2).
7. Завершення роботи програми „WesVarPC”
Для завершення роботи програми „WesVarPC” потрібно вийти з головного вікна (рис. 2) одним з наступних способів:
– натиснути на кнопку “х”у правому верхньому куті вікна;
– застосувати комбінації клавіш “ALT+F4”;
– натиснути на емблему програми у лівому верхньому куті вікна й обрати опцію “Закрыть”.